Ye Tian won the 2025 student paper award in the ASA Section for Statistical Learning and Data Science
@article{tian2025learning,author={Tian, Ye and Gu, Yuqi and Feng, Yang},journal={Journal of Machine Learning Research},title={Learning from Similar Linear Representations: Adaptivity, Minimaxity, and Robustness},volume={26},number={187},pages={1--125},year={2025},doi={https://www.jmlr.org/papers/v26/23-0902.html},}
AoS
Semiparametric Modeling and Analysis for Longitudinal Network Data
Network Analysis, Nonparametric Statistics
Yinqiu He, Jiajin Sun, Yuang Tian, Zhiliang Ying, and Yang Feng
@article{he2025semiparametric,author={He, Yinqiu and Sun, Jiajin and Tian, Yuang and Ying, Zhiliang and Feng, Yang},journal={Annals of Statistics},title={Semiparametric Modeling and Analysis for Longitudinal Network Data},year={2025},doi={10.1214/25-AOS2506},}
JASA
Design-Based Causal Inference with Missing Outcomes: Missingness Mechanisms, Imputation-Assisted Randomization Tests, and Covariate Adjustment
Machine Learning, Causal Inference
Siyu Heng, Jiawei Zhang, and Yang Feng
Journal of the American Statistical Association, 2025
Siyu Heng won the 2024 IMS New Researcher Travel Award
@article{heng2023design,author={Heng, Siyu and Zhang, Jiawei and Feng, Yang},journal={Journal of the American Statistical Association},title={Design-Based Causal Inference with Missing Outcomes: Missingness Mechanisms, Imputation-Assisted Randomization Tests, and Covariate Adjustment},year={2025},doi={10.1080/01621459.2025.2516204},}
JASA
Neyman-pearson multi-class classification via cost-sensitive learning
Machine Learning, Neyman-Pearson Classification
Ye Tian, and Yang Feng
Journal of the American Statistical Association, 2024
@article{tian2024neyman,author={Tian, Ye and Feng, Yang},journal={Journal of the American Statistical Association},title={Neyman-pearson multi-class classification via cost-sensitive learning},year={2024},number={just-accepted},pages={1--23},publisher={Taylor \& Francis},doi={10.1080/01621459.2024.2402567},}
ICML
Towards the Theory of Unsupervised Federated Learning: Non-asymptotic Analysis of Federated EM Algorithms
Machine Learning, High-dimensional Statistics, Federated Learning, Transfer Learning, Multi-task Learning
Ye Tian, Haolei Weng, and Yang Feng
In Forty-first International Conference on Machine Learning, 2024
@inproceedings{tian2024towards,author={Tian, Ye and Weng, Haolei and Feng, Yang},booktitle={Forty-first International Conference on Machine Learning},title={Towards the Theory of Unsupervised Federated Learning: Non-asymptotic Analysis of Federated EM Algorithms},year={2024},doi={10.5555/3692070.3694041},}
JASA
Transfer learning under high-dimensional generalized linear models
Transfer Learning, High-dimensional Statistics
Ye Tian, and Yang Feng
Journal of the American Statistical Association, 2023
@article{tian2023transfer,author={Tian, Ye and Feng, Yang},journal={Journal of the American Statistical Association},title={Transfer learning under high-dimensional generalized linear models},year={2023},number={544},pages={2684--2697},volume={118},publisher={Taylor \& Francis},doi={10.1080/01621459.2022.2071278},}
JASA
PCABM: Pairwise Covariates-Adjusted Block Model for Community Detection
Network Analysis
Sihan Huang, Jiajin Sun, and Yang Feng
Journal of the American Statistical Association, 2023
@article{huang2023pcabm,author={Huang, Sihan and Sun, Jiajin and Feng, Yang},journal={Journal of the American Statistical Association},title={PCABM: Pairwise Covariates-Adjusted Block Model for Community Detection},year={2023},pages={1--13},publisher={Taylor \& Francis},doi={10.1080/01621459.2023.2244731},}
AoS
Testing community structure for hypergraphs
Network Analysis
Mingao Yuan, Ruiqi Liu, Yang Feng, and Zuofeng Shang
@article{yuan2022testing,author={Yuan, Mingao and Liu, Ruiqi and Feng, Yang and Shang, Zuofeng},journal={Annals of Statistics},title={Testing community structure for hypergraphs},year={2022},number={1},pages={147--169},volume={50},publisher={Institute of Mathematical Statistics},doi={10.1214/21-AOS2099},}
Biometrika
Large-scale model selection in misspecified generalized linear models
High-dimensional Statistics
Emre Demirkaya, Yang Feng, Pallavi Basu, and Jinchi Lv
@article{demirkaya2022large,author={Demirkaya, Emre and Feng, Yang and Basu, Pallavi and Lv, Jinchi},journal={Biometrika},title={Large-scale model selection in misspecified generalized linear models},year={2022},number={1},pages={123--136},volume={109},publisher={Oxford University Press},doi={10.1093/biomet/asab005},}
@article{tian2021raseclassification,author={Tian, Ye and Feng, Yang},journal={Journal of Machine Learning Research},title={RaSE: Random Subspace Ensemble Classification},year={2021},date-modified={2024-11-12 13:09:11 -0500},read={0},}
JASA
The Interplay of Demographic Variables and Social Distancing Scores in Deep Prediction of US COVID-19 Cases
Epidemiology, Machine Learning
Francesca Tang, Yang Feng, Hamza Chiheb, and Jianqing Fan
Journal of the American Statistical Association, 2021
@article{tang2021interplay,author={Tang, Francesca and Feng, Yang and Chiheb, Hamza and Fan, Jianqing},journal={Journal of the American Statistical Association},title={The Interplay of Demographic Variables and Social Distancing Scores in Deep Prediction of US COVID-19 Cases},year={2021},doi={10.1080/01621459.2021.1901717},}
JASA
RaSE: A Variable Screening Framework via Random Subspace Ensembles
@article{tian2021rasescreening,author={Tian, Ye and Feng, Yang},journal={Journal of American Statistical Association},title={RaSE: A Variable Screening Framework via Random Subspace Ensembles},year={2021},date-modified={2024-11-12 13:08:50 -0500},doi={10.1080/01621459.2021.1938084},}
JoE
A Projection Based Conditional Dependence Measure with Applications to High-dimensional Undirected Graphical Models
@article{fan2020projection,author={Fan, Jianqing and Feng, Yang and Xia, Lucy},journal={Journal of Econometrics},title={A Projection Based Conditional Dependence Measure with Applications to High-dimensional Undirected Graphical Models},year={2020},doi={10.1016/j.jeconom.2019.12.016},}
JMLR
Neyman-Pearson classification: parametrics and sample size requirement
@article{tong2020neyman,author={Tong, Xin and Xia, Lucy and Wang, Jiacheng and Feng, Yang},journal={Journal of Machine Learning Research},title={Neyman-Pearson classification: parametrics and sample size requirement},year={2020},}
PAMI
A kronecker product model for repeated pattern detection on 2d urban images
Computer Vision
Juan Liu, Emmanouil Z Psarakis, Yang Feng, and Ioannis Stamos
IEEE transactions on pattern analysis and machine intelligence, 2019
@article{liu2019kronecker,author={Liu, Juan and Psarakis, Emmanouil Z and Feng, Yang and Stamos, Ioannis},journal={IEEE transactions on pattern analysis and machine intelligence},title={A kronecker product model for repeated pattern detection on 2d urban images},year={2019},number={9},pages={2266--2272},volume={41},publisher={IEEE},}
Sci. Adv.
Neyman-Pearson classification algorithms and NP receiver operating characteristics
@article{tong2018neyman,author={Tong, Xin and Feng, Yang and Li, Jingyi Jessica},journal={Science Advances},title={Neyman-Pearson classification algorithms and NP receiver operating characteristics},year={2018},number={2},pages={eaao1659},volume={4},publisher={American Association for the Advancement of Science},}
JASA
Model selection for high-dimensional quadratic regression via regularization
High-Dimensional Statistics
Ning Hao, Yang Feng, and Hao Helen Zhang
Journal of the American Statistical Association, 2018
@article{hao2018model,author={Hao, Ning and Feng, Yang and Zhang, Hao Helen},journal={Journal of the American Statistical Association},title={Model selection for high-dimensional quadratic regression via regularization},year={2018},number={522},pages={615--625},volume={113},publisher={Taylor \& Francis},}
JASA
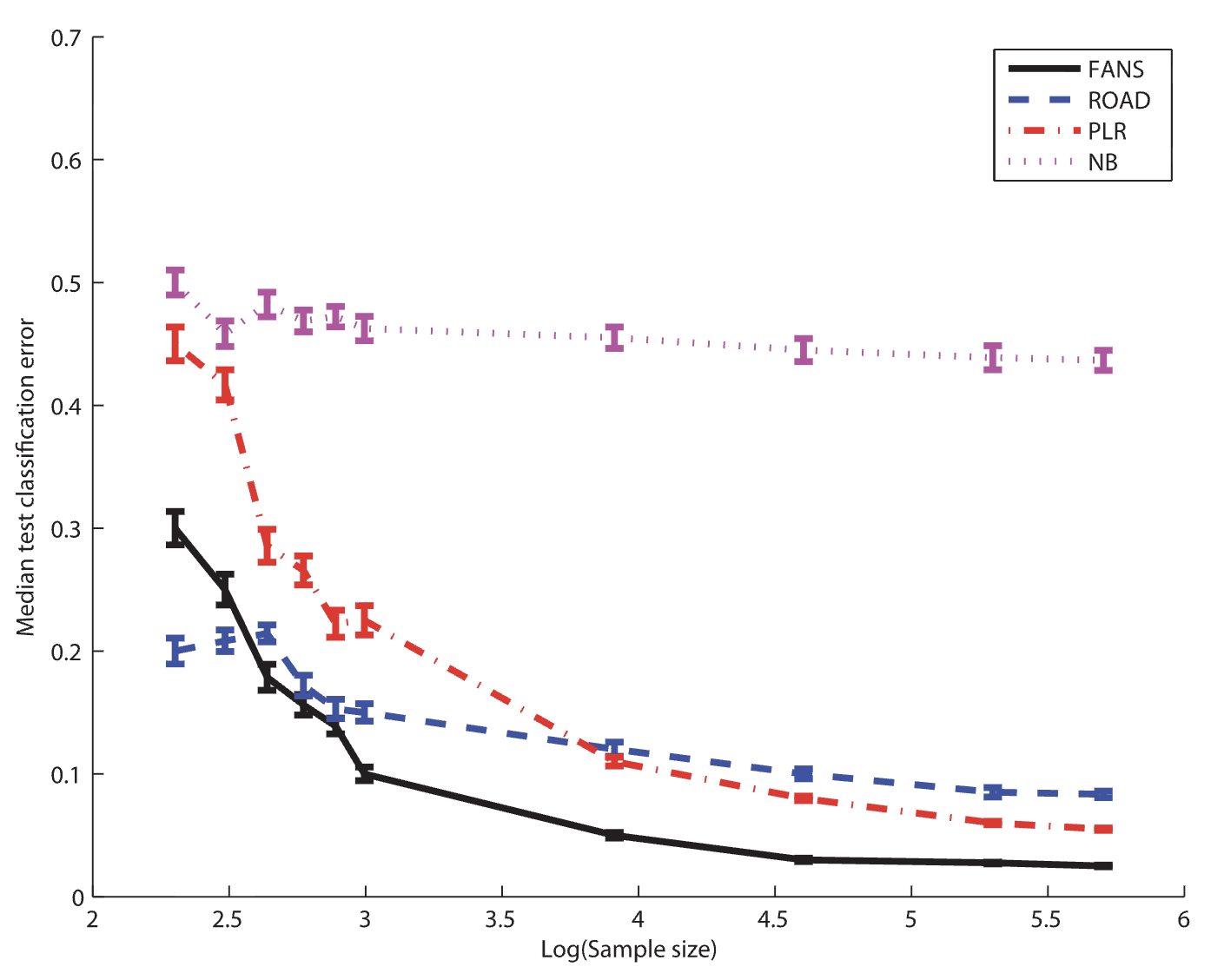
Feature Augmentation via Nonparametrics and Selection (FANS) in high-dimensional classification
High-Dimensional Statistics, Classification
Jianqing Fan, Yang Feng, Jiancheng Jiang, and Xin Tong
Journal of the American Statistical Association, 2016
@article{fan2016feature,author={Fan, Jianqing and Feng, Yang and Jiang, Jiancheng and Tong, Xin},journal={Journal of the American Statistical Association},title={Feature Augmentation via Nonparametrics and Selection (FANS) in high-dimensional classification},year={2016},number={513},pages={275--287},volume={111},publisher={Taylor \& Francis},}
JMLR
Neyman-Pearson classification under high-dimensional settings
@article{zhao2016neyman,author={Zhao, Anqi and Feng, Yang and Wang, Lie and Tong, Xin},journal={Journal of Machine Learning Research},title={Neyman-Pearson classification under high-dimensional settings},year={2016},number={212},pages={1--39},volume={17},}
JRSSB
A road to classification in high dimensional space: the regularized optimal affine discriminant
High-Dimensional Statistics, Classification
Jianqing Fan, Yang Feng, and Xin Tong
Journal of the Royal Statistical Society: Series B (Statistical Methodology), 2012
@article{fan2012road,author={Fan, Jianqing and Feng, Yang and Tong, Xin},journal={Journal of the Royal Statistical Society: Series B (Statistical Methodology)},title={A road to classification in high dimensional space: the regularized optimal affine discriminant},year={2012},number={4},pages={745--771},volume={74},publisher={Wiley Online Library},}
JASA
Nonparametric independence screening in sparse ultra-high-dimensional additive models
@article{fan2011nonparametric,author={Fan, Jianqing and Feng, Yang and Song, Rui},journal={Journal of the American Statistical Association},title={Nonparametric independence screening in sparse ultra-high-dimensional additive models},year={2011},pages={544--557},volume={106},publisher={Taylor \& Francis},}
AoS
Nonparametric estimation of genewise variance for microarray data
@article{fan2010nonparametric,author={Fan, Jianqing and Feng, Yang and Niu, Yue S},journal={Annals of Statistics},title={Nonparametric estimation of genewise variance for microarray data},year={2010},number={5},pages={2723},volume={38},publisher={NIH Public Access},}
@article{fan2009local,author={Fan, Jianqing and Wu, Yichao and Feng, Yang},journal={Annals of Statistics},title={Local quasi-likelihood with a parametric guide},year={2009},number={6B},pages={4153},volume={37},publisher={NIH Public Access},}